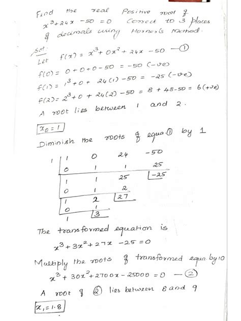
Horner's Method: A Quick Guide To Polynomial Evaluation

C.Sansay 32 views
Horner's Method: A Quick Guide To Polynomial Evaluation

Horner’s Method: A Quick Guide to Polynomial Evaluation

Hey guys! Ever stumbled upon a polynomial that looks like it was designed to torture you with calculations? Well, fear not! There’s a nifty little trick called Horner’s Method (or Horner’s Scheme) that can make evaluating polynomials a breeze . This article will break down what Horner’s Method is, how it works, and why it’s so darn useful. So, let’s dive in and make polynomial evaluation less of a headache.

What is Horner’s Method?

At its heart, Horner’s Method is an algorithm optimized for evaluating polynomials efficiently. Instead of calculating each term individually and then summing them up (which can be computationally expensive, especially for high-degree polynomials), Horner’s Method rearranges the polynomial into a nested form that minimizes the number of multiplications needed. This not only speeds up the calculation but also reduces the potential for rounding errors in computers. Think of it as a clever factorization trick that transforms a daunting calculation into a series of simple steps. The main keyword, Horner’s Method, is the cornerstone of understanding polynomial evaluation. It is a simple, yet powerful algorithm to evaluate polynomials efficiently by reducing the number of multiplications needed. Imagine you have a polynomial like this: P(x) = a_n*x^n + a_{n-1}*x^{n-1} + ... + a_1*x + a_0 . Instead of calculating each term a_n*x^n , a_{n-1}*x^{n-1} , and so on separately, Horner’s Method rewrites it in a nested form. This nested form looks something like this: P(x) = a_0 + x*(a_1 + x*(a_2 + ... x*(a_{n-1} + x*a_n)...)) . Notice how you’re now just doing repeated multiplications and additions. This minimizes the number of multiplications, making the whole process faster and less prone to errors. Let’s consider a polynomial P(x) = 4x^3 - 3x^2 + 2x - 1 . Using the traditional method, we would calculate 4*x*x*x - 3*x*x + 2*x - 1 . This requires multiple multiplications and additions. Now, let’s apply Horner’s Method. We rewrite the polynomial as P(x) = -1 + x*(2 + x*(-3 + x*4)) . To evaluate this at a specific value of x , say x = 2 , we start from the innermost parentheses and work our way outwards. First, we calculate -3 + 2*4 = 5 . Then, we calculate 2 + 2*5 = 12 . Finally, we calculate -1 + 2*12 = 23 . So, P(2) = 23 . See how we only performed a few simple multiplications and additions? This is the beauty of Horner’s Method. It transforms a complex calculation into a series of straightforward steps, making polynomial evaluation much easier and more efficient. Especially when dealing with high-degree polynomials or when performing calculations by hand, Horner’s Method can be a lifesaver.

How Does Horner’s Method Work?

The magic of Horner’s Method lies in its clever rearrangement of the polynomial. Let’s break down the process step by step with an example. Suppose we have a polynomial: P(x) = a_n*x^n + a_{n-1}*x^{n-1} + ... + a_1*x + a_0 . The core idea is to rewrite this polynomial in a nested form: P(x) = a_0 + x*(a_1 + x*(a_2 + ... + x*(a_{n-1} + x*a_n)...)) . To evaluate the polynomial at a specific value of x , we start with the innermost term and work our way outwards. Here’s a breakdown of the algorithm: Initialize a result variable with the coefficient of the highest degree term (a_n). Iterate through the remaining coefficients from a_{n-1} down to a_0 . In each iteration, multiply the result by x and add the current coefficient. The final result will be the value of the polynomial evaluated at x . Let’s illustrate this with an example. Consider the polynomial P(x) = 3x^3 - 2x^2 + 5x - 1 . We want to evaluate it at x = 2 . Using Horner’s Method, we rewrite the polynomial as: P(x) = -1 + x*(5 + x*(-2 + x*3)) . Now, let’s apply the algorithm step by step: Initialize the result with the coefficient of the highest degree term, which is 3 . Multiply the result by x (which is 2 ) and add the next coefficient: 3*2 + (-2) = 4 . Multiply the result by x again and add the next coefficient: 4*2 + 5 = 13 . Multiply the result by x one last time and add the constant term: 13*2 + (-1) = 25 . So, P(2) = 25 . That’s it! We’ve successfully evaluated the polynomial using Horner’s Method. Notice how we only performed a few simple multiplications and additions. This makes the calculation much faster and less prone to errors compared to the traditional method of calculating each term separately. Horner’s Method shines when dealing with high-degree polynomials or when performing calculations by hand. It simplifies the process and reduces the chances of making mistakes. By rewriting the polynomial in a nested form, we minimize the number of multiplications needed, making the evaluation more efficient. So, next time you encounter a polynomial evaluation problem, remember Horner’s Method – it’s your friend!

Why Use Horner’s Method?

So, why should you bother learning Horner’s Method ? What makes it so special? Well, the main advantages are speed, accuracy, and simplicity. Let’s break down each of these benefits. First, speed . Horner’s Method reduces the number of multiplications needed to evaluate a polynomial. In the traditional method, each term requires multiple multiplications. For example, in a term like a_n*x^n , you need to perform n multiplications to calculate x^n . In contrast, Horner’s Method rewrites the polynomial in a nested form that minimizes the number of multiplications. This can significantly speed up the calculation, especially for high-degree polynomials. Second, accuracy. By reducing the number of multiplications, Horner’s Method also reduces the potential for rounding errors. In computer calculations, each multiplication can introduce a small rounding error. When you perform many multiplications, these errors can accumulate and affect the accuracy of the final result. Horner’s Method minimizes the number of multiplications, thereby reducing the accumulation of rounding errors and improving the accuracy of the calculation. Finally, simplicity. Horner’s Method is relatively easy to understand and implement. The algorithm is straightforward: you initialize a result variable with the coefficient of the highest degree term, and then you iterate through the remaining coefficients, multiplying the result by x and adding the current coefficient in each iteration. This simple process makes Horner’s Method easy to remember and apply, even when you’re performing calculations by hand. Let’s consider an example to illustrate the benefits of Horner’s Method. Suppose we have the polynomial P(x) = 2x^4 - 3x^3 + x^2 + 4x - 5 . We want to evaluate it at x = 3 . Using the traditional method, we would calculate each term separately: 2*3^4 = 162 , -3*3^3 = -81 , 1*3^2 = 9 , 4*3 = 12 , and -5 . Then, we would sum them up: 162 - 81 + 9 + 12 - 5 = 97 . This requires multiple multiplications and additions, and it’s easy to make a mistake. Now, let’s apply Horner’s Method. We rewrite the polynomial as: P(x) = -5 + x*(4 + x*(1 + x*(-3 + x*2))) . Applying the algorithm step by step: Initialize the result with 2 . 2*3 + (-3) = 3 . 3*3 + 1 = 10 . 10*3 + 4 = 34 . 34*3 + (-5) = 97 . So, P(3) = 97 . Notice how we only performed a few simple multiplications and additions. This is much faster and less prone to errors than the traditional method. In summary, Horner’s Method is a valuable tool for evaluating polynomials efficiently and accurately. It reduces the number of multiplications needed, minimizes rounding errors, and is easy to understand and implement. So, next time you need to evaluate a polynomial, give Horner’s Method a try – you’ll be glad you did!

Horner’s Method vs. Direct Evaluation

Okay, so you might be thinking, “Why bother with Horner’s Method when I can just plug in the value of x and calculate each term directly?” That’s a fair question! Let’s compare Horner’s Method to direct evaluation to see the real differences. Direct evaluation involves calculating each term of the polynomial separately and then summing them up. For example, if we have a polynomial P(x) = a_n*x^n + a_{n-1}*x^{n-1} + ... + a_1*x + a_0 , direct evaluation would involve calculating a_n*x^n , a_{n-1}*x^{n-1} , and so on, and then adding all the results together. This method is straightforward and easy to understand, but it can be computationally expensive, especially for high-degree polynomials. Horner’s Method, on the other hand, rewrites the polynomial in a nested form that minimizes the number of multiplications needed. This can significantly speed up the calculation and reduce the potential for rounding errors. Let’s illustrate the differences with an example. Consider the polynomial P(x) = 4x^3 - 3x^2 + 2x - 1 . We want to evaluate it at x = 2 . Using direct evaluation, we would calculate: 4*2^3 = 4*8 = 32 . -3*2^2 = -3*4 = -12 . 2*2 = 4 . -1 . Then, we would sum them up: 32 - 12 + 4 - 1 = 23 . This requires multiple multiplications and additions. Now, let’s apply Horner’s Method. We rewrite the polynomial as: P(x) = -1 + x*(2 + x*(-3 + x*4)) . Applying the algorithm step by step: Initialize the result with 4 . 4*2 + (-3) = 5 . 5*2 + 2 = 12 . 12*2 + (-1) = 23 . So, P(2) = 23 . Notice how Horner’s Method requires fewer multiplications than direct evaluation. In general, for a polynomial of degree n , direct evaluation requires n(n+1)/2 multiplications and n additions, while Horner’s Method requires only n multiplications and n additions. This means that Horner’s Method is more efficient, especially for high-degree polynomials. Another advantage of Horner’s Method is that it reduces the potential for rounding errors. Each multiplication can introduce a small rounding error, and when you perform many multiplications, these errors can accumulate and affect the accuracy of the final result. By minimizing the number of multiplications, Horner’s Method reduces the accumulation of rounding errors and improves the accuracy of the calculation. In summary, while direct evaluation is straightforward and easy to understand, Horner’s Method is more efficient and accurate, especially for high-degree polynomials. By rewriting the polynomial in a nested form, Horner’s Method minimizes the number of multiplications needed, thereby speeding up the calculation and reducing the potential for rounding errors. So, next time you need to evaluate a polynomial, consider using Horner’s Method – it’s a valuable tool in your mathematical toolkit!

Real-World Applications of Horner’s Method

You might be wondering, “Okay, Horner’s Method sounds cool, but where is it actually used in the real world?” Great question! While it might seem like a purely theoretical concept, Horner’s Method has numerous practical applications in various fields. One of the most common applications is in computer graphics. When rendering 3D models, computers need to perform a large number of polynomial evaluations to calculate the positions and colors of pixels on the screen. Using Horner’s Method can significantly speed up these calculations, allowing for faster and more efficient rendering. Another important application is in digital signal processing (DSP). DSP involves manipulating signals, such as audio or video, to enhance their quality or extract information from them. Many DSP algorithms rely on polynomial evaluations, and Horner’s Method can be used to optimize these calculations. For example, Horner’s Method is used extensively in filter design and implementation, which are fundamental components of many DSP systems. In numerical analysis, Horner’s Method is used for root-finding algorithms. Root-finding algorithms are used to find the values of x for which a function f(x) equals zero. Many root-finding algorithms, such as Newton’s method, require evaluating the function and its derivative at various points. Horner’s Method can be used to efficiently evaluate polynomials and their derivatives, making these algorithms faster and more accurate. Horner’s Method is also used in cryptography. Cryptography involves encoding and decoding messages to protect them from unauthorized access. Many cryptographic algorithms rely on polynomial arithmetic, and Horner’s Method can be used to optimize these calculations. For example, Horner’s Method is used in elliptic curve cryptography, which is a widely used public-key cryptosystem. Furthermore, Horner’s Method finds applications in scientific computing, where complex simulations and calculations often involve polynomial evaluations. From modeling physical phenomena to analyzing data, efficient polynomial evaluation is crucial. Horner’s Method provides a reliable and fast way to perform these calculations, saving time and resources. Let’s consider a specific example. Suppose you are developing a video game. The game involves rendering complex 3D scenes with numerous objects and effects. To achieve smooth and realistic graphics, the game engine needs to perform a large number of polynomial evaluations to calculate the positions and colors of pixels on the screen. Using Horner’s Method can significantly speed up these calculations, allowing for higher frame rates and a more immersive gaming experience. In summary, Horner’s Method is not just a theoretical concept – it has numerous practical applications in various fields, including computer graphics, digital signal processing, numerical analysis, cryptography, and scientific computing. By providing an efficient and accurate way to evaluate polynomials, Horner’s Method plays a crucial role in many real-world applications. So, next time you’re playing a video game or using a DSP system, remember that Horner’s Method might be working behind the scenes to make it all possible!

Tips and Tricks for Using Horner’s Method

Alright, you’re now equipped with the knowledge of what Horner’s Method is, how it works, and why it’s so useful. But, let’s take it a step further with some tips and tricks to make you a Horner’s Method pro . First, always double-check your coefficients. The most common mistake when using Horner’s Method is entering the coefficients incorrectly. Make sure you have the correct coefficients and that they are in the correct order. It’s a good idea to write down the polynomial and the coefficients clearly before starting the calculation. Second, pay attention to signs. Another common mistake is getting the signs wrong. Remember that the coefficients can be positive or negative, and you need to make sure you’re using the correct signs in your calculations. A simple sign error can lead to a completely wrong answer. Third, use a calculator or spreadsheet for complex polynomials. While Horner’s Method is relatively easy to perform by hand, it can become tedious for high-degree polynomials with many coefficients. In such cases, it’s a good idea to use a calculator or spreadsheet to automate the calculations. This will reduce the chances of making a mistake and save you time. Fourth, practice, practice, practice. Like any skill, mastering Horner’s Method requires practice. The more you use it, the more comfortable you’ll become with the algorithm, and the faster you’ll be able to perform the calculations. Try working through various examples, both by hand and with a calculator or spreadsheet. Fifth, understand the limitations. While Horner’s Method is a powerful tool for evaluating polynomials, it’s not always the best choice for every situation. For example, if you need to evaluate the polynomial at many different values of x , it might be more efficient to use a different method that precomputes some values. It’s important to understand the limitations of Horner’s Method and choose the best tool for the job. Sixth, remember the nested form. The key to Horner’s Method is rewriting the polynomial in a nested form. This is what allows you to minimize the number of multiplications and speed up the calculation. Always remember to rewrite the polynomial in the correct nested form before starting the algorithm. Finally, verify your results. After you’ve performed the calculations, it’s a good idea to verify your results. You can do this by plugging the value of x back into the original polynomial and calculating the result directly. If you get the same answer, you can be confident that you’ve performed the calculations correctly. Let’s consider an example to illustrate these tips and tricks. Suppose we have the polynomial P(x) = 2x^4 - 3x^3 + x^2 + 4x - 5 . We want to evaluate it at x = 3 . Following the tips and tricks: Double-check the coefficients: The coefficients are 2, -3, 1, 4, -5 . Pay attention to signs: The signs are correct. Use a calculator or spreadsheet: Enter the coefficients and the value of x into a spreadsheet. Practice, practice, practice: Work through the example by hand and with the spreadsheet. Understand the limitations: Horner’s Method is a good choice for this example. Remember the nested form: Rewrite the polynomial as P(x) = -5 + x*(4 + x*(1 + x*(-3 + x*2))) . Verify your results: Plug x = 3 back into the original polynomial and calculate the result directly. By following these tips and tricks, you can become a Horner’s Method pro and use it effectively to evaluate polynomials efficiently and accurately. So, go out there and start practicing – you’ll be amazed at how easy and useful Horner’s Method can be!